‘CO2’ directory
- See Also
- Links
- “Air Lab Is the Flipper Zero of Air Quality Monitors”, Geerling 2025
- “Decreased CO2 Saturation during Circular Breathwork Supports Emergence of Altered States of Consciousness”
- “Boost Your Brain: a Simple 100% Normobaric Oxygen Treatment Improves Human Motor Learning Processes”, Wang et al 2023
- “Indoor Air Quality and Strategic Decision Making”, Künn et al 2023
- “Indoor Air Quality and Academic Performance”, Stafford 2015
- “Breathing Carbon Dioxide (4% for 1 Hour) Slows Response Selection, Not Stimulus Encoding”, Vercruyssen 2014
- “Examination of Influence of CO2 Concentration by Scientific Methods in the Laboratory”, Kajtár et al 2003
- “Cognitive Performance and Mood During Respirator Wear and Exercise”, Caretti 1999
- “Joint NASA-ESA-DARA Study. Part Three: Effects of Chronically Elevated CO2 on Mental Performance during 26 Days of Confinement”
- “The Effect of Moderately Increased CO2 Concentration on Perception of Coherent Motion”, Yang et al 1997
- “Effect of Low-Concentration CO2 on Stereoacuity and Energy Expenditure”, Sun et al 1996
- “False Suffocation Alarms, Spontaneous Panics, and Related Conditions: An Integrative Hypothesis”, Klein 1993
- “SIMULATION-BASED ASSESSMENT OF MANAGERIAL COMPETENCE: RELIABILITY AND VALIDITY”
- “Effects of Carbon Dioxide Inhalation on Psychomotor and Mental Performance during Exercise and Recovery”, Sheehy et al 1982
- “Effects of Hypercapnia and Bedrest on Psychomotor Performance”, Storm & Giannetta 1974
- “High Fidelity Simulations In The Evaluation Of Environmental Stress: Acute CO2 Exposure”, Wamsley et al 1969
- “A Concept of Triple Tolerance Limits Based on Chronic Carbon Dioxide Toxicity Studies”, Schaefer 1961
- “The Influence Of Hyperpnea And Of Variations Of O2-Tension & CO2-Tension In The Inspired Air Upon Hearing”, Gellhorn & Spiesman 1935
- “Influence of Variations of O2 and CO2 Tension in Inspired Air Upon Hearing”, Gellhorn & Spiesman 1934
- “The Physiological Effects of High Concentrations of Carbon Dioxide”, Brown 1930
- “The Effect of CO2 Controlled Bedroom Ventilation on Sleep and Next-Day Performance”
- “800 Slightly Poisoned Word Games”, Alexander 2026
- “We Need More Research on How CO2 Affects Cognition”
- Wikipedia (1)
- Miscellaneous
- Bibliography
See Also
Links
“Air Lab Is the Flipper Zero of Air Quality Monitors”, Geerling 2025
“Decreased CO2 Saturation during Circular Breathwork Supports Emergence of Altered States of Consciousness”
“Boost Your Brain: a Simple 100% Normobaric Oxygen Treatment Improves Human Motor Learning Processes”, Wang et al 2023
Boost your brain: a simple 100% normobaric oxygen treatment improves human motor learning processes
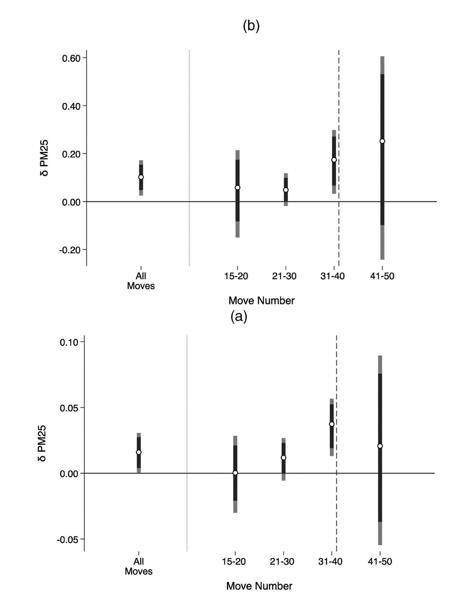
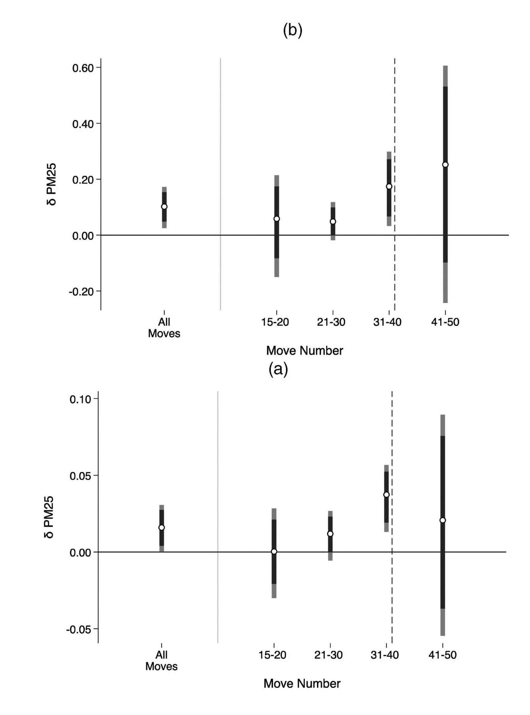
“Indoor Air Quality and Strategic Decision Making”, Künn et al 2023
“Indoor Air Quality and Academic Performance”, Stafford 2015
Indoor air quality and academic performance :
View PDF:
“Breathing Carbon Dioxide (4% for 1 Hour) Slows Response Selection, Not Stimulus Encoding”, Vercruyssen 2014
Breathing Carbon Dioxide (4% for 1 Hour) Slows Response Selection, Not Stimulus Encoding
“Examination of Influence of CO2 Concentration by Scientific Methods in the Laboratory”, Kajtár et al 2003
Examination of influence of CO2 concentration by scientific methods in the laboratory
“Cognitive Performance and Mood During Respirator Wear and Exercise”, Caretti 1999
Cognitive Performance and Mood During Respirator Wear and Exercise
“Joint NASA-ESA-DARA Study. Part Three: Effects of Chronically Elevated CO2 on Mental Performance during 26 Days of Confinement”
View PDF:
“The Effect of Moderately Increased CO2 Concentration on Perception of Coherent Motion”, Yang et al 1997
The effect of moderately increased CO2 concentration on perception of coherent motion :
View PDF:
“Effect of Low-Concentration CO2 on Stereoacuity and Energy Expenditure”, Sun et al 1996
Effect of low-concentration CO2 on stereoacuity and energy expenditure :
View PDF:
“False Suffocation Alarms, Spontaneous Panics, and Related Conditions: An Integrative Hypothesis”, Klein 1993
False Suffocation Alarms, Spontaneous Panics, and Related Conditions: An Integrative Hypothesis
“SIMULATION-BASED ASSESSMENT OF MANAGERIAL COMPETENCE: RELIABILITY AND VALIDITY”
SIMULATION-BASED ASSESSMENT OF MANAGERIAL COMPETENCE: RELIABILITY AND VALIDITY :
View PDF:
“Effects of Carbon Dioxide Inhalation on Psychomotor and Mental Performance during Exercise and Recovery”, Sheehy et al 1982
View PDF:
“Effects of Hypercapnia and Bedrest on Psychomotor Performance”, Storm & Giannetta 1974
Effects of hypercapnia and bedrest on psychomotor performance :
View PDF:
“High Fidelity Simulations In The Evaluation Of Environmental Stress: Acute CO2 Exposure”, Wamsley et al 1969
High Fidelity Simulations In The Evaluation Of Environmental Stress: Acute CO2 Exposure :
View PDF:
“A Concept of Triple Tolerance Limits Based on Chronic Carbon Dioxide Toxicity Studies”, Schaefer 1961
A concept of triple tolerance limits based on chronic carbon dioxide toxicity studies :
View PDF:
“The Influence Of Hyperpnea And Of Variations Of O2-Tension & CO2-Tension In The Inspired Air Upon Hearing”, Gellhorn & Spiesman 1935
View PDF:
“Influence of Variations of O2 and CO2 Tension in Inspired Air Upon Hearing”, Gellhorn & Spiesman 1934
Influence of Variations of O2 and CO2 Tension in Inspired Air Upon Hearing :
View PDF:
“The Physiological Effects of High Concentrations of Carbon Dioxide”, Brown 1930
The physiological effects of high concentrations of carbon dioxide :
View PDF:
“The Effect of CO2 Controlled Bedroom Ventilation on Sleep and Next-Day Performance”
The effect of CO2 controlled bedroom ventilation on sleep and next-day performance
“800 Slightly Poisoned Word Games”, Alexander 2026
“We Need More Research on How CO2 Affects Cognition”
Wikipedia (1)
Miscellaneous
/doc/co2/2023-kunn-figure4-impactofindoorairqualityonchessplayerperformance.jpg/doc/co2/2003-kajtar-figure4-co2concentrationeffectonreadingerrorsinsecondperiod.png/doc/co2/2003-kajtar-figure5-co2concentrationeffectonreadingerrorsinsecondperiod.png/doc/co2/2003-kwokwaitham-proceedingsofhealthybuildings.tar.xz/doc/co2/1986-streufert-complexitymanagersandorganizations.pdf:View PDF (27MB):
/doc/co2/1986-streufert-complexitymanagersandorganizations.pdf-
View PDF:
-
View PDF:
/doc/co2/1947-consolazio.pdf:View PDF:
-
View PDF:
-
View External Link:
https://makezine.com/projects/corsi-box-air-purifier-join-the-air-movement/https://slatestarcodex.com/2017/04/05/the-case-of-the-suffocating-woman/https://www.airgradient.com/open-airgradient/blog/expensive-air-quality-monitors-not-more-accurate/https://www.airgradient.com/open-airgradient/blog/positive-pressure-systems-for-clean-air/https://www.isi.edu/~hardaker/news/20221106-ietf-c02-analysis/
Bibliography
https://pubsonline.informs.org/doi/10.1287/mnsc.2022.4643: “Indoor Air Quality and Strategic Decision Making”,